บทความ
-
Hits29624ให้คะแนนAverage rating
-
ฟ้าผ่าคืออะไร เกิดได้อย่างไร!!??
ฟ้าผ่าคืออะไร เกิดได้อย่างไร เชื่อไหมว่าในอดีตมนุษย์ได้พบเห็นฟ้าผ่า ...
Hits53186ให้คะแนนAverage rating -
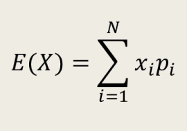
Expectation : ค่าคาดหวัง
Expectation : ค่าคาดหวัง ในโลกเรานี้มีสถานการณ์หลายๆอย่าง ที่สามารถเกิดขึ้นได้หลายๆแบบ ...
Hits124921ให้คะแนนAverage rating -
The Solar Road : ถนนพลังงานแสงอาทิตย์
The Solar Road : ถนนพลังงานแสงอาทิตย์ เมื่อพูดถึงปีที่ผ่านมาหรือปี 2015 ...
Hits35632ให้คะแนนAverage rating -
Hits33478ให้คะแนนAverage rating
-
Hits63714ให้คะแนนAverage rating
-
ความแตกต่างของ Analog และ Digital
ความแตกต่างของ Analog และ Digital เคยได้ยินกันใช่หรือไม่ ทั้งคำว่า “ Analog” และคำว่า ...
Hits415794ให้คะแนนAverage rating -
Virtual Reality เทคโนโลยีความเป็นจริงเสมือน
Virtual Reality เทคโนโลยีความเป็นจริงเสมือน หากเดินไปตามงาน commart ...
Hits190765ให้คะแนนAverage rating -
Space-Based Solar Power : ...
Space-Based Solar Power : แหล่งพลังงานจากอวกาศ หลายคนคงเริ่มคุ้นหูกันดีกับคำว่า ...
Hits38891ให้คะแนนAverage rating -
เลขฐานคณิตศาสตร์ ...
เลขฐานคณิตศาสตร์ กับการเอาชีวิตรอดบนดาวอังคาร (The Martian) The Martian ภาพยนตร์แนว ...
Hits39649ให้คะแนนAverage rating -
Pokemon Go : ความสำเร็จแห่งเทคโนโลยี ...
Pokemon Go : ความสำเร็จแห่งเทคโนโลยี จากเกมยุค 1996 สู่ เกมยุค 2016 ...
Hits23683ให้คะแนนAverage rating -
Hits84138ให้คะแนนAverage rating

